(一)物理性质
胺与氨的性质很相似。低级脂肪胺是气体或易挥发的液体,具有难闻的臭味。高级胺为固体。芳香胺为高沸点的液体或低熔点的固体,具有特殊气味,难溶于水,易溶于有机溶剂。芳香胺具有一定的毒性,如苯胺可以通过消化道、呼吸道或经皮肤吸收而引起中毒;联苯胺等有致癌作用。因此,在处理这些化合物时应加以注意。
同氨一样,胺是极性化合物。除叔胺外,都能形成分子间氢键
。胺的沸点比相对分子质量相近的烃类高,但比相对分子质量相近的醇或羧酸的沸点低。叔胺氮原子上无氢原子,分子间不能形成氢键,因此沸点比其异构体的伯、仲胺低。
伯、仲、叔胺都能与水分子形成氢键
,因此低级的胺
易溶于水。胺的溶解度随相对分子质量的增加而迅速降低,从6个碳原子的胺开始就难溶于水。一般胺能溶于醚、醇、苯等有机溶剂。
(二)化学性质
1.胺的碱性和成盐反应
胺中的氮原子和氨中一样,有一对未共用电子对。能接受质子,因此胺具有碱性。

胺的碱性以碱式离解常数Kb或其负对数pKb值表示。Kb值愈大或pKb值愈小则碱性愈强;Kb值愈小或pKb值愈大则碱性愈弱。胺的碱性也可用其共轭酸铵离子的离解常数Ka或pKa来表示。Ka值愈小或pKa值愈大,则胺的碱性愈强。
在水溶液中,脂肪胺一般以仲胺的碱性最强。但是,无论伯、仲或叔胺,其碱性都比氨强。芳香胺的碱性则比氨弱。氨、甲胺、二甲胺、三甲胺和苯胺的碱性强弱次序为:

(1)脂肪胺的碱性 影响脂肪胺碱性的因素有三个。①诱导效应——胺分子中与氮原子相连的烷基具有斥电子诱导效应(+I,![]()
,使氮上的电子云密度增加,从而增强了对质子的吸引能力,而生成的铵离子也因正电荷得到分散而比较稳定。因此,氮上烷基数增多,碱性要增强。②水化作用——在水溶液中,胺的碱性还决定于与质子结合后形成的铵离子水化的难易。氮原子上所连的氢愈多,则与水形成氢键的机会就愈多,水化程度亦愈大,铵离子就更稳定,胺的碱性也就增强。③位阻效应——胺分子中的烷基愈多、愈大,则占据空间的位置就愈大,使质子不易靠近氮原子,因而胺的碱性就降低。
因此,脂肪伯、仲、叔胺碱性的强弱是上述三个因素共同影响的结果。
(2)芳香胺的碱性 芳香胺的碱性比脂肪胺弱得多。例如苯胺的pKb=9.40,这是因为苯胺中氮原子的未共用电子对与苯环的π电子相互作用,形成一个均匀的共轭体系而变得稳定,氮原子上的电子云部分地转向苯环,因此氮原子与质子的结合能力降低,故苯胺的碱性比氨弱得多。

芳香胺氮原子上所连的苯环愈多,共轭程度愈大,碱性也就愈弱。?
■[此处缺少一些内容]■
季铵盐是有机化合物中的强碱。它们在固态时即是离子状态,例如(CH3)4N+O-H易溶于水,其碱性与氢氧化钠或氢氧化钾相当。
季铵盐和铵盐不同,前者是强碱的盐,与氢氧化钠等不发生反应。卤化季铵盐的水溶液用氧化银处理时则生成季铵碱。

2.酯化反应
伯、仲胺都能与酰化剂(如乙酰氯、乙酸酐)作用,氨基上的氧原子被酰基取代,生成酰胺,这种反应叫做胺的酰化。叔胺因氮上没有氢,故不发生酰化反应。

酰胺是晶形很好的固体,有一定的熔点,所以利用酰化反应可以鉴定伯胺和仲胺。叔胺不起酰化反应,故此性质可用来区别叔胺,并可以从伯、仲、叔胺的混合物中把叔胺分离出来。此外,酰胺在酸或碱的催化下,可水解游离出原来的胺。由于氨基活泼,且易被氧化,因此在有机合成中可以用酰化的方法来保护芳胺的氨基。例如:

3.与亚硝酸反应
伯、仲、叔胺与亚硝酸反应时,产物各不相同,借此可区别三种胺。
由于亚硝酸(HNO2)是一种很不稳定的酸,所以通常用亚硝酸钠和强酸作用产生。
NaNO2+HCl→HNO2+NaCl
(1)伯胺与亚硝酸反应脂肪伯胺与亚硝酸反应,放出氮气,并生成醇、烯烃等的混合物。其反应式可简单地用下式表示:
R-NH2+HONO→ROH+N2↑+H2O
CH3-NH2+HONO→CH3OH+N2↑+H2O
由于此反应能定量地放出氮气,故可用于伯胺及氨基化合物的分析。
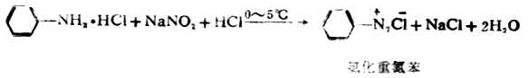
芳香族伯胺与脂肪伯胺不同,在低温和强酸存在下,与亚硝酸作用则生成芳香族重氮盐,这个反应称为重氮化反应。例如:

芳香重氮盐比脂肪重氮盐稳定,如在5℃以下,氯化重氮苯在水溶液中不会分解但温度升高,使分解放出氮气,同时生成酚类化合物。

芳香重氮盐化学性质很活泼,是有机合成的重要中间体。例如,通过重氮盐的反应,可以制备许多芳香族化合物。芳香重氮盐的反应主要分为放氮反应和偶合反应两大类。
放氮反应:重氮基(
)在不同条件下,可被羟基、卤素、氰
基、氢原子等取代,生成相应的芳香族衍生物,放出氮气。因此,利用这些反应可以从芳香烃开始合成一系列芳香族化合物。

偶合反应:重氮盐与酚类或芳香叔胺作用,生成有颜色的偶氮化合物,这个反应称为偶合反应。

重氮盐与酚或芳香胺偶合时,如果羟基或氨基的对位有其它原子或原子团,则可在邻位偶合;如果对位及邻位都有取代基时,则不发生反应。
偶氮化合物都有颜色。许多偶氮化合物可用作染料,称为偶氮染料,有些偶氮化合物的颜色能随溶液PH值的不同而变化,这些化合物可用作酸碱指示剂。例如甲基橙。
(2)仲胺与亚硝酸反应脂肪仲胺和芳香族仲胺与亚硝酸作用生成N-亚硝基胺。

N-亚硝基胺为黄色的中性油状物质,不溶于水,可从溶液中分离出来;与稀酸共热则分解为原来的仲胺,故可利用此性质鉴别、分离或提纯仲胺。
N-亚硝基胺是较强的致癌物质。
(3)叔胺与亚硝酸反应脂肪叔胺因氮上没有氢,与亚硝酸作用时只能生成不稳定的亚硝酸盐。

芳香族叔胺与亚硝酸作用,发生环上取代反应,在芳香环上引入亚硝基,生成对亚硝基取代物,在酸性溶液中呈黄色,若对位上已有取代基,则亚硝基取代在邻位。
由于三种胺与亚硝酸的反应不同,所以可利用与亚硝酸的反应鉴别伯、仲、叔胺。