
公式(20.8)
公式(20.9)
公式(20.10)
以上公式中:P1,P2为两个样本率
pc为合并样本率
X1和X2分别为两样本阳性例数
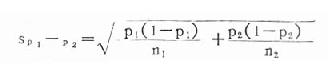
如果两个样本都相当大,则sp1-p2改用下式计算

公式(20.11)
现仍以上述计算率的标准误的例题,进一步检验两个样本率差异有无意义。
基本资料:n1=3315,p1=1.78%=0.0178,1-p1=0.9822
n2=3215,p2=5.60%=0.056,1-p2=0.944
检验步骤:
1.建立检验假设:
H:π1=π2
H1:π1≠π2
α=0.05
2.计算u值:因两个都是大样本,故采用公式(20.11)以求sp1-p2

3.确定P值和分析:本题u=8.234>2.58,P<0.01,差异有高度统计学意义,按α=0.05水准拒绝H,可以认为水中碘浓度高的居民甲状腺患病率高于水中碘浓度低的居民。